青藏高原是世界屋脊、亚洲水塔及地球第三极,研究青藏高原地质灾害动力学机理,揭示构造活动与气候变化相互作用背景下青藏高原地质灾害与环境效应,是国际地球科学领域的研究热点和前沿科学问题。20世纪以来,伴随着全球气候变暖、冰川退缩作用,青藏高原地区高速远程滑坡的发育频度逐渐增加。现有的研究表明,全球板块边界汇聚造山带中巨型高速远程滑坡的发育分布规律与区域构造活动、气候变化密切相关,是二者相互作用的指示器。因此青藏高原高速远程滑坡灾害的调查研究,对揭示高原地区构造、环境与气候演化历史,评估高原未来不同时间尺度地貌演化过程具有重要意义。
高速远程滑坡运动与停积过程中,动力破碎是近年来滑坡动力学研究领域十分关注与亟待解决的关键科学问题。所谓动力破碎,是指滑坡在高速运动过程中,由于滑体本身的自重应力作用、滑体与运动路径之间的碰撞、滑体内部各块体之间的相互撞击、滑体基底层(basal facies)与滑体主体层(body facies)内部差异性剪切作用等因素,导致组成滑体的岩体持续产生动态断裂破碎的现象。动力破碎导致的碎屑化过程是高速远程滑坡运动过程中普遍存在的现象,在滑坡运动过程中,沿整个运动路径岩体连续渐进地解体破碎,内部岩石块体粒径不断减小,滑体体积不断膨胀,流态化程度迅速增加。目前,学者们一致认为动力破碎是高速远程滑坡运动过程中最重要的动力学作用过程之一,而这种碎屑化作用过程与滑坡的远程运动机理密切相关。但是,关于动力破碎对滑坡远程运动的作用机制,国际上的争论非常激烈,目前尚未形成定论。争论的焦点在于:碎屑化如何影响滑坡的远程运动?一些学者认为,滑体高速运动过程中,其内部岩块受巨大应力作用产生碎屑化,破碎后岩屑的动能可以形成弥散应力,促使滑体底部摩阻力降低,形成远程运动;另一些学者认为,破碎是消耗能量的过程,越是剧烈的破碎越会产生更多的岩屑,从而消耗更多的能量,从能量守恒的观点来看并不能促进滑坡的远程运动。而从破碎现象本身这一基本事实来看,岩体破碎是滑坡内部颗粒粒径不断减小、滑体体积不断膨胀的过程,必定会改变和影响滑体的运动状态(例如,颗粒粒径减小所导致的滑体内摩擦系数和外摩擦系数的变化),毫无疑问影响了高速远程滑坡的运动和堆积过程。因此迄今为止,动力破碎对滑坡远程运动的影响作用这一悬而未决的问题,仍是国际上高速远程滑坡动力学研究的难点。
程谦恭教授团队近几年来针对青藏高原高速远程滑坡呈现的动力破碎现象与特征进行了深入的调查研究,在野外定量测量与分析了青藏高原地区典型高速远程滑坡(易贡滑坡、乱石包滑坡、尼续村滑坡、塔合曼滑坡等)堆积体岩体碎裂结构特征(图1)。在此基础上,林棋文博士进行了滑坡碎屑化过程大型物理模型实验,利用高速摄影系统和倾斜摄影测量技术获取滑坡碎屑化运动过程参数与堆积特征,分析不同源区岩体结构背景下滑坡的碎屑化运动机理。取得的主要认识如下:
(1)高速远程滑坡的碎屑化过程受源区岩体结构的控制作用,并与运动路径的起伏程度密切相关(图2)。
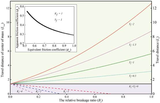
(2)源区岩体结构特征不仅控制滑坡的碎屑化程度,且影响滑体前缘的运动距离,而滑体重心位置的运动距离主要受滑体破碎程度控制(图3)。
(3)发现了实验室尺度下滑坡碎屑化运动形成的等效摩擦系数Φeq (Equivalent friction coefficient)与表观摩擦系数Φap(Apparent friction coefficient)的负相关关系(图4),由此可以说明:滑坡的动力破碎过程显著抑制了其整体的运动性,然而动力破碎这一力学过程可以有效促进滑体前缘的运动,作者认为这一现象是块体破碎的弹性应变能释放效应所致。
(4)建立了基于动力破碎过程的崩滑碎屑流运动距离预测数学模型,即“新型破碎-扩散模型”(公式(1)、(2)),对于潜在崩滑灾害的危害范围预测具有重要应用价值(图5)。
(1)
(2)
学术论文“Contributions of rock mass structure to the emplacement of fragmenting rockfalls and rockslides: insights from laboratory experiments”近期发表在国际著名地学类自然指数期刊JGR-Solid Earth。该研究成果获得国家第二次青藏高原综合科学考察研究项目“冻土冻融灾害及重大冻土工程病害”专题(2019QZKK0905),国家自然科学基金重点项目“川藏铁路高山峡谷区高速远程滑坡自激振动悬浮减阻、流变转化停积就位及阻滞耗能复合防控机理研究(41530639)”、国际合作项目“青藏高原南缘中尼经济走廊巨型高速远程滑坡动力学机理”(41761144080)与面上项目“高速远程滑坡动力破碎与竖向分带机理研究”(41877226)等资助。
论文详细信息:
Lin, Q., Cheng, Q., Li, K., Xie, Y., &Wang, Y. (2020). Contributions of rock mass structure to the emplacement of fragmenting rockfalls and rockslides: Insights from laboratory experiments. Journal of Geophysical Research: Solid Earth, 125, e2019JB019296. //doi.org/10.1029/2019JB019296
论文链接://agupubs.onlinelibrary.wiley.com/doi/epdf/10.1029/2019JB019296

图1 高速远程滑坡堆积体典型破碎特征
(图a、b、c为本团队拍摄;图d据Poschinger,2006;图e据Sandra,2008)

图2 不同岩体结构的滑体碎屑化过程高速摄影图示

图3 岩体结构及碎屑化程度对滑坡运动距离的影响

图4 表观摩擦系数与等效摩擦系数关系

图5 “新型破碎-扩散模型”理论计算滑体破碎程度与滑坡运动距离的关系